Zusammensetzung CRB Index siehe hier:
https://de.wikipedia.org/wiki/…uters/Jefferies_CRB_Index
Charttechnik über den Tellerand hinaus von Gold/Silber und Minenwerten
-
-
-
-
du solltest mal überlegen, eventuell deine signatur zu ändern, sonst wird sich in der kommenden
zeit garnichts ändern
![smilie_happy [smilie_happy]](https://2023a.goldseiten-forum.com/wcf/images/smilies/smilie_happy_058.gif)
wer die geister herbeiruft, braucht sich nicht wundern
![smilie_happy [smilie_happy]](https://2023a.goldseiten-forum.com/wcf/images/smilies/smilie_happy_058.gif)
-
Das stimmt. [ Muss ich jetzt die ganze Schuld an der Baisse auf mich nehmen? ]
Daran hatte ich auch immer gedacht, aber den Kursverlauf bis zum finalen Tief hatte ich mir dennoch etwas anders vorgestellt.
So wie es jetzt aussieht, haben die Zwischen-Haussies keine Chance - und es geht ohne grosse Erholungen einfach abwärts..
-
war dann doch schon sehr erstaunt, dass wir im frühen asiatischen handel mehr als
2% beim gold verloren haben - waren sogar schon unter 1100wenn die big player schafen ist sowas leicht möglich
kann mich garnicht mehr erinnern, wann dass das letzte mal der fall war
ist schon ausergewöhnlich und seltsam

interessante woche und wetten, dass wir am freitag wieder bei 1150-1160 schliessen ?
-
-
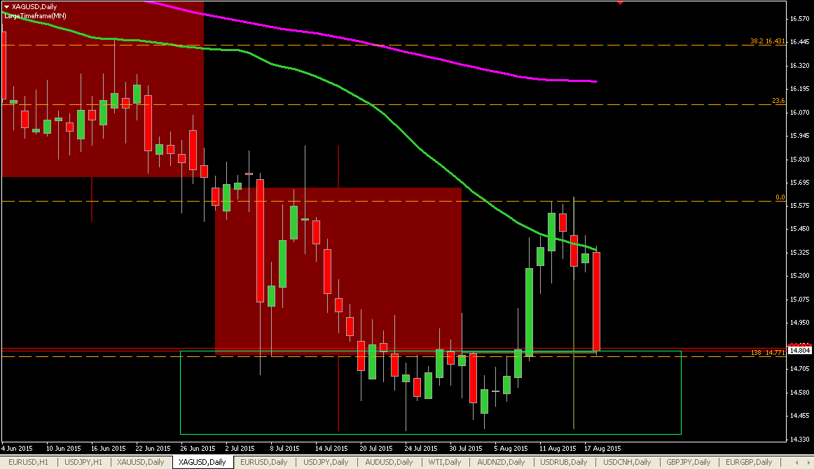
Ich bin der Auffassung das der größere Swing seit 18.05.15 nun vollendet ist und ein Retracement folgt. Erstes Target 15.30$
Wenn ich richtig liege werden höhere Targets folgen => 16.14 wäre dann in "realistischer" Reichweite, dann kann man weiter schauen.Kaffeesatzleserei *an*
Warum der Verkauf im Asia Market, ehrlich ich hab keinen Plan, nur eine Vermutung das ev. ein Zusammenhang besteht mit der letzten Meldung der PBOC und die "offiziellen" Reserven niedriger ausgefallen sind als allgemein erwartet...
Kaffesatzleserei *aus* -
Das stimmt. [ Muss ich jetzt die ganze Schuld an der Baisse auf mich nehmen? ]
.Jup.
Man war bisher immer scharf auf einen Sündenbock, musst also vorsichtig sein
Brainwashed
Ist doch auch gut für die Zeitungen, Krise hier - Krise dort und der frühere Sichere Hafen Gold ist nicht mehr das, was er mal war......
Direkt danach hieß es, die Deutschen sind so Reich wie nie...... nicht durch die Zinsen auf dem Konto, aber durch Fonds und Aktien...
alles klar.grüße
-
habs heute auch vernommen, Gold auf 5Jahrestief, mal kurz nachschauen...
Aha... http://www.finanzen.net/rohstoffe/goldpreis/euro/Chart
-
...ein Bild sagt mehr als tausend Worte...
Hallo Lucky!
Ganz so einfach ist es auch wieder nicht. Ich habe den Eindruck dass z.B. Chartanalyse nur Sinn macht bei wirklich liquiden Situationen, bei Explorern macht es meiner Meinung nach praktisch keinen Sinn sondern ist sinnlos oder brandgefährlich. Oder man verpasst damit sogar teils das Beste.
Ich habe mit den Explorern erst jetzt in 2015 eine sagen wir in meinen Augen erstaunliche Treffsicherheit an den Tag gelegt, nachdem ich sie praktisch ausschließlich nach fundamentalen Gesichtspunkten analysiere und eigene Rankings erstelle.
Das geht praktisch ohne Charts. Tabellen genügen mir.
Die Diagramme in dem Artikel, auf den ich mich bezogen hatte, haben eh anderen Charakter es sind Korrelationsanalysen.
Gruß,
gutso -
Hallo gutso!
Woerni und du werden sich also weiter fetzen...was sich liebt, das neckt sich!
Bleibt einfach auf dem Teppich der gehobenen Gesprächskultur....Für mich:
Was ich kaufe/verkaufe idR aus fundamentalen Gründen
Wann ich kaufe/verkaufe: idR aus charttechnischen GründenFundamentaldaten und Börsenkurscharts gehören einfach ziemlich fest zueinander, nicht gerade wie Bild und Kehrseite einer Münze, eher wie ein Getriebe mit Zahnrädern aus Gummi. Und dan gibt es noch (fundamentalen) Sand im Getriebe.
Wenn es einfach wäre, wären wir hier alle Millionäre....
Gute Nacht,
Lucky -
-
Lucky, es ist wie ich seit diesem Jahr feststellen muss, tatsächlich einfach: Und zwar in erster Linie recht anstrengend!
Man muss sich die Daten der Minen per Korrelationsanalysen ansehen und dann weitere weiche Faktoren dazunehmen.
Ergo: Ranken, scrollen, freuen. ... Und dann weiter recherchieren: Wie ist das Management, die lokale und die Landespolitik, etc.So wie Du die Chartanalyse übrigens klar neben eine Fundamentalanalyse einordnest macht es wieder Sinn für mich, allerdings eben auch nur wieder bei eher liquide gehandelten, größeren Werten. Meist also wohl Produzenten oder sogar größeren Produzenten. Oder eben bei den Spotpreisen.
Allerdings muss ich auch noch was anmerken: Wenn ich an einen charttechnisch abgehenden Wert wie Claude Resources denke, in die ich rein bin, obwohl sie im Februar bereits sehr sehr hoch bewertet schien, dann nur wegen der hervorragenden Fundamentaldaten, der Chart sprach dagegen, da waren Marken nach unten durchbrochen, nichts schien klar. Außer bei den Daten. Alles lag nur an den Spotpreisen, die da etwas zurückkamen, und Gewinnmitnahmen dehalb. Irgendwas um 50% Gewinn hatte ich da in drei Wochen in Folge rausgezogen ... . Wider die Charts.
Wie gesagt: Alles in Maßen. Aber in Bayern heißt das ja was anderes! ...

Gruß,
gutso -
Ich bin der Auffassung das der größere Swing seit 18.05.15 nun vollendet ist und ein Retracement folgt. Erstes Target 15.30$
Wenn ich richtig liege werden höhere Targets folgen => 16.14 wäre dann in "realistischer" Reichweite, dann kann man weiter schauen.Kaffeesatzleserei *an*
Warum der Verkauf im Asia Market, ehrlich ich hab keinen Plan, nur eine Vermutung das ev. ein Zusammenhang besteht mit der letzten Meldung der PBOC und die "offiziellen" Reserven niedriger ausgefallen sind als allgemein erwartet...
Kaffesatzleserei *aus*oh weh, eine weitere Marke die unterschritten wurde. Sofern sich das nicht als fake Ausbruch nach unten erweist steht den 13.87 nichts mehr im Weg.
Ratio derzeit: 74,8
-
Vergleich der relativen stärke / schwäche.
Während EUR/USD ein pullback auf Tagesbasis hingelegt hat, verharren XAG und XAU auf basalem Niveau.
Neuen Tiefs auf XAG und XAU scheinen somit diese Woche wahrscheinlich. -
Comex Analyse zu Gold:
http://www.cmegroup.com/educat…storm-on-the-horizon.html
ZitatDon’t be lulled into complacency by the low level of realized and implied volatility in gold.
ZitatAs such, any economic data or policy pronouncements from the FOMC that bring forward expectations for a rate hike, will more likely than not send gold lower, and by extension, send the implied volatility of gold options higher. Of course, the opposite is true as well. Weak economic data that diminishes expectations of a Fed rate hike will probably support gold. Indeed, the significant decline in expectations for Fed rate hikes in 2015 and 2016 (Figure 12) may be one factor that has supported gold in recent months and prevented it from following the likes of crude oil, silver, and iron ore off the cliff.
-
FOMC minutes heute 20Uhr
und n bissle Entertainment bla bla was die analysten von 20 Großbanken dazu sagen...
http://www.efxnews.com/story/2…fomc-views-20-major-banksMeine Meinung - "Listen to the news, trade the technicals"
-
-
Auf Wochen und Monatsbasis scheint ein weiterer Verfall des Euros wahrscheinlich.
-
Silber ist schon am retest; Gold hat noch ein gutes Stück for sich.
Ratio dzt. 72,27
-
Auch wieder auf dem Radar - AUD / USD längerfristig
-
Silber gelangt wieder in der Kaufzone - hab mal eine minimum Position eingelegt
-
WTI noch keine Position drin
Edit: passend dazu http://derstandard.at/20000208…racking-Pleite-in-den-USA
Erste große Fracking-Pleite in den USA
as schon länger erwartet wurde, ist nun eingetreten: Die niedrigen Öl- und Gaspreise haben die erste große Pleite am Fracking-Markt in den Vereinigten Staaten verursacht. Das US-Unternehmen Samson Resources kann seine Schulden nicht mehr bedienen und wird voraussichtlich im September Bankrott gemäß Artikel 11 des amerikanischen Insolvenzrechts anmelden. -